不論在回轉窯的哪一處橫截面中,位于塞流層的球團顆粒都不會發生相互之間的運動,但是其表面的活動層會因為球團向下的滾動而出現充分混合的情況。
實際上回轉窯其窯體是有一定的傾斜的,球團也會在滾落的過程中沿著軸向不斷向前運轉,由此我們可以確定,回轉窯內軸向的能量傳遞是出現在表面活動層的球團運轉中的。另外,由于表面在回轉窯的運轉中,球團在表面的活動層產生的是沿軸向向前的移動,因此,窯內的軸向能量傳遞也是由表面活動層內球團的運動所產生的。

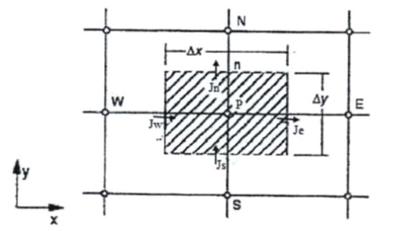
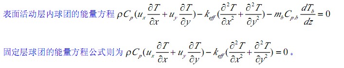
如圖,我們可以參考來制作一個控制容積,由此我們可以獲得回轉窯運轉時各個層面的能量公式(如下),

同時也可以很好的看出窯對于物料的有效煅燒。
信息由豫暉重工提供:http://www.hargatoyotakarawang.com
相關文章推薦:容積式泵在回轉窯內的應用